いろいろ x^2 y^2=25 implicit differentiation 330657-X^2+y^2=25 implicit differentiation
Implicit Differentiation However Some Functions Are Defined Implicitly
DerivativesFirst DerivativeWRT NewSpecify MethodChain RuleProduct RuleQuotient RuleSum/Diff RuleSecond DerivativeThird DerivativeHigher Order DerivativesDerivative at a pointPartial DerivativeImplicit DerivativeSecond Implicit DerivativeDerivative using DefinitionFor example, the implicit form of a circle equation is x 2 y 2 = r 2 We know that differentiation is the process of finding the derivative of a function There are three steps to do implicit differentiation They are Step 1 Differentiate the function with respect to x Step 2 Collect all dy/dx on one side Step 3 Finally, solve for dy/dx
X^2+y^2=25 implicit differentiation
X^2+y^2=25 implicit differentiation-Implicit differentiation is also a very powerful technique in solving related rates problems and constrained optimization problems (It's So, it's now time to do our first problem where implicit differentiation is required, unlike the first example where we could actually avoid implicit differentiation by solving for y y Example 3 Find y′ y ′ for the following function x2 y2 = 9 x 2 y 2 = 9 Show Solution
Solved Use Implicit Differentiation To Find An Equation Of Chegg Com
SOLUTIONS TO IMPLICIT DIFFERENTIATION PROBLEMS SOLUTION 1 Begin with x3 y3 = 4 Differentiate both sides of the equation, getting (Remember to use the chain rule on D ( y3 ) ) so that (Now solve for y ' ) Click HERE to return to the list of problems SOLUTION 2 Begin with ( x y) 2 = x y 1Differentiating implicitly with respect to x, you find that Example 4 Find the slope of the tangent line to the curve x 2 y 2 = 25 at the point (3,−4) Because the slope of the tangent line to a curve is the derivative, differentiate implicitly with respect to x, which yieldsImplicit differentiation Consider the following x 2 y 2 = r 2 This is the equation of a circle with radius r(Lesson 17 of Precalculus)Let us calculate To do that, we could solve for y and then take the derivative But rather than do that, we will take the derivative of each term
51 Implicit Differentiation 🔗 We often run into situations where y is expressed not as a function of , x, but as being in a relation with x A familiar example is the equation for a circle of radius 5, x 2 y 2 = 25 🔗 We recall that a circle is not actually the graph of a function It is however the combined graph of the twoThe method of implicit differentiation answers this concern Let us illustrate this through the following example Example Find the equation of the tangent line to the ellipse at the point (2,3) One way is to find y as a function of x from the above equation, then differentiate to find the slope of the tangent line We can employ implicit differentiation to find the derivatives of implicitly defined equations Implicit differentiation is performed by differentiating both sides of the equation with respect to x and then solving for the resulting equation for the derivative of y As an example, consider the function y3 x3 = 1
X^2+y^2=25 implicit differentiationのギャラリー
各画像をクリックすると、ダウンロードまたは拡大表示できます
![]() 2 Differentiation 2 1 2 2 2 3 | 2 Differentiation 2 1 2 2 2 3 | 2 Differentiation 2 1 2 2 2 3 |
![]() 2 Differentiation 2 1 2 2 2 3 | ![]() 2 Differentiation 2 1 2 2 2 3 | ![]() 2 Differentiation 2 1 2 2 2 3 |
![]() 2 Differentiation 2 1 2 2 2 3 | 2 Differentiation 2 1 2 2 2 3 | 2 Differentiation 2 1 2 2 2 3 |
2 Differentiation 2 1 2 2 2 3 | 2 Differentiation 2 1 2 2 2 3 | ![]() 2 Differentiation 2 1 2 2 2 3 |
2 Differentiation 2 1 2 2 2 3 | ![]() 2 Differentiation 2 1 2 2 2 3 | ![]() 2 Differentiation 2 1 2 2 2 3 |
![]() 2 Differentiation 2 1 2 2 2 3 | ![]() 2 Differentiation 2 1 2 2 2 3 | ![]() 2 Differentiation 2 1 2 2 2 3 |
![]() 2 Differentiation 2 1 2 2 2 3 | ![]() 2 Differentiation 2 1 2 2 2 3 | 2 Differentiation 2 1 2 2 2 3 |
![]() 2 Differentiation 2 1 2 2 2 3 | ![]() 2 Differentiation 2 1 2 2 2 3 | ![]() 2 Differentiation 2 1 2 2 2 3 |
2 Differentiation 2 1 2 2 2 3 | ![]() 2 Differentiation 2 1 2 2 2 3 | ![]() 2 Differentiation 2 1 2 2 2 3 |
2 Differentiation 2 1 2 2 2 3 | ![]() 2 Differentiation 2 1 2 2 2 3 | ![]() 2 Differentiation 2 1 2 2 2 3 |
![]() 2 Differentiation 2 1 2 2 2 3 | ![]() 2 Differentiation 2 1 2 2 2 3 | 2 Differentiation 2 1 2 2 2 3 |
![]() 2 Differentiation 2 1 2 2 2 3 | ![]() 2 Differentiation 2 1 2 2 2 3 | ![]() 2 Differentiation 2 1 2 2 2 3 |
![]() 2 Differentiation 2 1 2 2 2 3 | 2 Differentiation 2 1 2 2 2 3 | 2 Differentiation 2 1 2 2 2 3 |
![]() 2 Differentiation 2 1 2 2 2 3 | 2 Differentiation 2 1 2 2 2 3 | 2 Differentiation 2 1 2 2 2 3 |
![]() 2 Differentiation 2 1 2 2 2 3 | 2 Differentiation 2 1 2 2 2 3 | ![]() 2 Differentiation 2 1 2 2 2 3 |
![]() 2 Differentiation 2 1 2 2 2 3 | 2 Differentiation 2 1 2 2 2 3 | ![]() 2 Differentiation 2 1 2 2 2 3 |
![]() 2 Differentiation 2 1 2 2 2 3 | ![]() 2 Differentiation 2 1 2 2 2 3 | ![]() 2 Differentiation 2 1 2 2 2 3 |
![]() 2 Differentiation 2 1 2 2 2 3 | 2 Differentiation 2 1 2 2 2 3 | ![]() 2 Differentiation 2 1 2 2 2 3 |
2 Differentiation 2 1 2 2 2 3 | ![]() 2 Differentiation 2 1 2 2 2 3 | 2 Differentiation 2 1 2 2 2 3 |
![]() 2 Differentiation 2 1 2 2 2 3 | ![]() 2 Differentiation 2 1 2 2 2 3 | ![]() 2 Differentiation 2 1 2 2 2 3 |
![]() 2 Differentiation 2 1 2 2 2 3 | ![]() 2 Differentiation 2 1 2 2 2 3 | ![]() 2 Differentiation 2 1 2 2 2 3 |
2 Differentiation 2 1 2 2 2 3 | 2 Differentiation 2 1 2 2 2 3 | ![]() 2 Differentiation 2 1 2 2 2 3 |
2 Differentiation 2 1 2 2 2 3 | 2 Differentiation 2 1 2 2 2 3 | 2 Differentiation 2 1 2 2 2 3 |
![]() 2 Differentiation 2 1 2 2 2 3 | ![]() 2 Differentiation 2 1 2 2 2 3 | ![]() 2 Differentiation 2 1 2 2 2 3 |
![]() 2 Differentiation 2 1 2 2 2 3 | ![]() 2 Differentiation 2 1 2 2 2 3 | 2 Differentiation 2 1 2 2 2 3 |
![]() 2 Differentiation 2 1 2 2 2 3 | 2 Differentiation 2 1 2 2 2 3 | ![]() 2 Differentiation 2 1 2 2 2 3 |
![]() 2 Differentiation 2 1 2 2 2 3 | ![]() 2 Differentiation 2 1 2 2 2 3 | 2 Differentiation 2 1 2 2 2 3 |
![]() 2 Differentiation 2 1 2 2 2 3 | ![]() 2 Differentiation 2 1 2 2 2 3 | 2 Differentiation 2 1 2 2 2 3 |
2 Differentiation 2 1 2 2 2 3 | 2 Differentiation 2 1 2 2 2 3 | 2 Differentiation 2 1 2 2 2 3 |
2 Differentiation 2 1 2 2 2 3 | 2 Differentiation 2 1 2 2 2 3 | ![]() 2 Differentiation 2 1 2 2 2 3 |
2 Differentiation 2 1 2 2 2 3 | 2 Differentiation 2 1 2 2 2 3 | ![]() 2 Differentiation 2 1 2 2 2 3 |
2 Differentiation 2 1 2 2 2 3 | 2 Differentiation 2 1 2 2 2 3 | ![]() 2 Differentiation 2 1 2 2 2 3 |
![]() 2 Differentiation 2 1 2 2 2 3 | ![]() 2 Differentiation 2 1 2 2 2 3 | ![]() 2 Differentiation 2 1 2 2 2 3 |
![]() 2 Differentiation 2 1 2 2 2 3 | 2 Differentiation 2 1 2 2 2 3 | ![]() 2 Differentiation 2 1 2 2 2 3 |
![]() 2 Differentiation 2 1 2 2 2 3 | ![]() 2 Differentiation 2 1 2 2 2 3 |
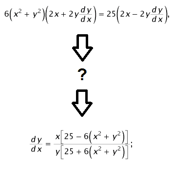
Calculus – Differentiation – Implicit differentiation Stewart §35, Example 1 Consider the circle given by x 2 y 2 = 25 Find d y d x Find an equation of the tangent line to the circle at the point ( 3, 4) Find an equation of the tangent line to the circle at the point ( − 4, − 3) SolutionFind slope of the tangent line to the curve 2(x^2y^2)^2=25(x^2y^2) at (3,1) I don't get how to write this problem out in a derivative form Can u please teach me how to write it out first?
Incoming Term: x^2+y^2=25 implicit differentiation, find dy/dx by implicit differentiation x^2+y^2=25,






























































コメント
コメントを投稿